FYZIKA I •
FYZIKA II •
FYZIKA •
TEORETICKÁ MECHANIKA (TF1) •
KVANTOVÁ TEORIE (TF2)
STATISTICKÁ FYZIKA (TF3) •
VZTAH MATEMATIKY A FYZIKY (TF4) •
OBECNÁ RELATIVITA (TF4)
ELEKTROMAGNETICKÉ POLE (TF4) •
FYZIKA PLAZMATU •
ASTROFYZIKA •
ASTRONOMICKÝ KURZ
ELEKTŘINA A MAGNETIZMUS (MIT) •
MODULY •
STŘEDNÍ ŠKOLY
FYZIKA – RELATIVITA (PŘÍKLADY)
|
|
Mion |
|
|
Interval |
|
|
Parametry rychlé částice |
|
|
Slunce |
|
|
Dopplerův jev |
|
|
Heavisideovo pole |
|
|
Poundův-Rebkův experiment |
|
|
Kosmologický posuv |
|
|
Náboj v elektrickém poli |
Příklad 1: Mion
Zadání: Doba života mionu (těžký elektron) je Δτ = 2.2×10−6 s. Mion vznikl ve výšce h = 30 km nad povrchem Země z kosmického záření a dopadl na Zem. Jakou musel mít minimální rychlost při vzniku?
Řešení: Z hlediska pozorovatele na Zemi je mion v pohyblivé soustavě a doba jeho života se prodlužuje na Δt = γΔτ. Mion proto může ulétnout až vzdálenost h ≤ υΔt = υγΔτ. Z tohoto vztahu vypočteme rychlost, kterou musí minimálně mít: υ = c/[1 + (cΔτ/h)2]1/2.
Výsledek: υ = 0.99976 c.
Příklad 2: Interval
Zadání: Dokažte, že interval Δs2 = − c2Δt2 + Δx2 + Δy2 + Δz2 je invariantní, tj. nezávisí na volbě souřadnic.
Předpoklady: Předpokládáme, že máme dvě události (ta, xa, ya, za) a (tb, xb, yb, zb) a v nějaké soustavě vypočteme veličinu Δs2, kde Δt = tb − ta, Δx = xb − xa, ... Tato veličina rozhoduje o tom, zda události mohou být kauzálně svázané a musí vyjít ve všech souřadnicových soustavách stejně.
Řešení: Vyjdeme z Lorentzovy transformace
t′ = γ (t
− υx/c2)
x′ = γ (x
− υt)
y′ = y
z′ = z
V čárkované soustavě pro interval obou událostí máme:
Δs′ 2 = − c2Δt ′
2
+ Δx'
2
+ Δy′
2
+ Δz′
2
=
= − c2γ2 (Δt − vΔx/c2)2
+ γ2 (Δx − υΔt)2
+ Δy2
+ Δz2
=
= − c2γ2(1 − υ2/c2)Δt2
+ γ2(1 − υ2/c2)Δx2
+ Δy2
+ Δz2
=
= − c2Δt2
+ Δx2
+ Δy2
+ Δz2.
Výsledek je tedy shodný v obou soustavách.
Příklad 3: Parametry rychlé částice
Zadání: Elektron je urychlen napětím U = 106 V. Určete jeho rychlost z klasického i relativistického výrazu pro kinetickou energii.
Řešení: Elektron v každém případě urychlením získá kinetickou energii Wk = QU. V klasickém případě je
Wk = m0υ2/2 → υ = (2Wk/m0)1/2 = (2QU/m0)1/2.
V relativistickém případě je
Wk = γm0c2 − m0c2 → υ = c[1 − (1 + QU/m0c2)−2]1/2.
Výsledek: υner = 1.98 c, υrel = 0.94 c. Nerelativistický výraz zjevně nemůžeme případě použít, vede k nadsvětelným rychlostem. Výpočet je třeba provést relativisticky.
Příklad 4: Slunce
Zadání: Jak se změní hmotnost Slunce za jeden rok díky jeho vyzařování? Intenzita slunečního záření v okolí Země je I = 1.4 kW m−2.

Řešení: Δm = ΔE/c2 = PΔt /c2 = 4πR2I Δt/c2.
Výsledek: Δm ~ 1017 kg. Celková hmotnost Slunce je 2×1030 kg. Jde tedy o zanedbatelný zlomek.
Příklad 5: Dopplerův jev
Zadání: Odvoďte relativistický Dopplerův jev pomocí transformace čtyřvektoru (ω/c, k). Proč dochází k Dopplerovu jevu i tehdy, když zdroj pozorovatele jen míjí a jejich vzdálenost se nemění (tzv. transverzální Dopplerův jev)?
Řešení:

Snadno nalezneme řešení v soustavě S ′ spojené se zdrojem záření:, tedy v klidové soustavě: kμ = (ω0/c; k cos α0; k sin α0; 0) = (ω0/c; ω0/c cos α0; ω0/c sin α0; 0). Nyní provedeme Lorentzovu transformaci do soustavy pozorovatele S:
.
Z prvního řádku maticového násobení máme výsledek
ω = γ (1 + v/c cos α0) ω0.
tento vztah je známý jako relativistický Dopplerův jev. V limitě nízkých rychlostí (zanedbáme členy kvadratické a vyšší faktorem υ/c) je c → 1 a ω = (1 + υ/c cos α) ω0. Při vzdalování zdroje je α = 180° a ω = (1 − υ/c) ω0, při přibližování zdroje je α = 0° a ω = (1 + υ/c) ω0. Jde o známé nerelativistické Dopplerovy vztahy. Při vyšších rychlostech jsou tyto vztahy modifikovány koeficientem γ. Jestliže zdroj záření pozorovatele míjí (α = ± 90°) je ω = γ ω0. K změně frekvence tedy dochází i v případě, že se zdroj nevzdaluje ani nepřibližuje. Tento jev se nazývá transverzální Dopplerův jev a jde o čistě relativistický jev, který nemá v nerelativistické fyzice obdoby. Je způsoben změnou chodu času v pohybující se soustavě.
Prostorové relace maticové transformace dají vztahy
ω cos α = γω0(β+cos
α0),
ω sin α = ω0 sin α0.
Pokud obě rovnice vydělíme, získáme vztah mezi oběma úhly, který je nezávislý na frekvencích a závisí jen na vzájemné rychlosti soustav:
tg α = sin α0/(γβ+γ cos α0).
Ze vztahu je zřejmé, že vlnoplocha změnila směr a tato změna závisí jen na vzájemné rychlosti soustav v. Relativistický Dopplerův jev jsme zde odvodili jen pro světlo (ω = ck) a nikoli pro obecné vlnění látky.
Příklad 6: Heavisideovo pole
Zadání: Určete pole náboje letícího konstantní rychlostí. Využijte transformaci čtyřvektoru (ϕ/c, A).
Řešení: V soustavě spojené s nábojem je zřejmě ϕ′ = Q/(4πε0r′, A′ = 0.
Provedeme transformaci do soustavy S pozorovatele
.
Výsledek je
Je zřejmé, že magnetické pole B = rot A je již nenulové, a že elektrické pole E = − ∂A/∂t − ∂ϕ/∂x je také modifikováno. Nový tvar polí je

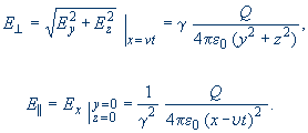
Důležitá je kolmá a rovnoběžná složka elektrického pole:
![]() |
![]() |
Vidíme, že elektrické pole ve směru pohybu je stlačeno faktorem γ−2 a napříč pohybu je nataženo faktorem γ. Pole se pohybuje spolu s nábojem. Magnetické pole tvoří kružnice kolmé na pohyb náboje. Pro nekonečnou řadu nábojů bychom získali pole kolem vodiče. Podobně lze postupovat při transformaci energie a hybnosti, hustoty a proudové hustoty, atd. Prohlédněte si aplet „Heavisideovo pole“.
Příklad 7: Poundův-Rebkův experiment
Zadání: Určete relativní změnu frekvence a vlnové délky v Poundově-Rebkově experimentu. Foton prolétal starou vodárenskou věží o výšce Δh = 22.6 m. Použity byly fotony s energií 14.4 keV emitované izotopem kobaltu 57Co.
Řešení: Ze vztahu Δω/ω0 = − Δλ/λ0 = Δϕ/c2 = gΔh/c2 snadno určíme Δω/ω0 = 2.5×10 −15, Δλ/λ0 = − 2.5×10 −15.
Příklad 8: Kosmologický posuv
Zadání: Quasar má rudý posuv z = 2.5. Určete pozorovanou vlnovou délku čáry λ = 680 nm. Jaké byly rozměry Vesmíru v době, kdy quasar vyslal záření?

Řešení: Stačí vyjít ze základního vztahu pro kosmologický rudý posuv: z = Δλ/λ0 = [R(t) − R(t0)]/R(t0). Odsud snadno určíme:
2.5 = λ/λ0 − 1 → λ = 3.5 λ0 = 2380 nm.
Obdobně
2.5 = R/R0 − 1 → R0 = R /3.5 = 29 % R.
Vlnová délka je posunuta do neviditelné infračervené oblasti spektra. Rozměry Vesmíru byly v době vyslání signálu 29 % rozměrů dnešních.
Příklad 9: Náboj v elektrickém poli
Zadání: Řešte urychlování náboje z nulové rychlosti ve směru pole nerelativisticky a relativisticky.
Řešení nerelativistické: Budeme integrovat pohybovou rovnici
![]()
Nerelativistické řešení má zjevné vady, například
![]()
Náboj je nekontrolovatelně urychlován na jakoukoli rychlost.
Řešení relativistické: Budeme integrovat relativistickou pohybovou rovnici

Vidíme, že po první integraci jsme nedostali rychlost samotnou, ale vztah, ze kterého teprve musíme rychlost vypočítat:
![]()

Výraz pro rychlost již není tak jednoduchý, zato ale nediverguje,
![]()
Chcete-li znát polohu, je třeba provést ještě jednu integraci:

| Termo | Kmity | Vlny | Elmg | Optika | Relativita | Kvanta |
| Příklady | Příklady | Příklady | Příklady | Příklady | Příklady | Příklady |

