FYZIKA I •
FYZIKA II •
FYZIKA •
TEORETICKÁ MECHANIKA (TF1) •
KVANTOVÁ TEORIE (TF2)
STATISTICKÁ FYZIKA (TF3) •
VZTAH MATEMATIKY A FYZIKY (TF4) •
OBECNÁ RELATIVITA (TF4)
ELEKTROMAGNETICKÉ POLE (TF4) •
FYZIKA PLAZMATU •
ASTROFYZIKA •
ASTRONOMICKÝ KURZ
ELEKTŘINA A MAGNETIZMUS (MIT) •
MODULY •
STŘEDNÍ ŠKOLY
FYZIKA – KVANTOVÁ TEORIE (PŘÍKLADY)
|
|
Stefanův-Boltzmannův zákon |
|
|
Wiennův zákon |
|
|
Slunce |
|
|
Člověk |
|
|
Čára Hα |
|
|
Mikroskop |
|
|
Komutátor |
|
|
Jáma |
|
|
Emise |
Příklad 1: Stefanův-Boltzmannův zákon
Zadání: Nalezněte z Planckova vyzařovacího zákona závislost celkové intenzity záření na teplotě.

Řešení: Stačí integrovat Planckovu formuli přes všechny frekvence a úhly. Do konstanty „const“ zahrnujeme číselné koeficienty. Mezi ně patří nakonec i bezrozměrný integrál v posledním řádku, jehož hodnotu by bylo možné určit numericky:

Příklad 2: Wiennův zákon
Zadání: Nalezněte z Planckova vyzařovacího zákona závislost vlnové délky maxima vyzařování na teplotě.

Řešení: K hledání maxima využijeme Planckův zákon ve frekvencích, který je jednodušší pro derivování. Nutná podmínka maxima je

Po derivování a jednoduchých úpravách podmínka přejde na rovnici
(3 − ħω/kBT)exp(ħω/kBT) = 3,
ve které označíme
x = ħω/kBT
a získáme transcendentní rovnici (3 − x) = 3 exp(−x). Tato rovnice může být snadno řešena numericky nebo graficky (v grafu najdeme průsečík funkcí na levé a pravé straně rovnice). Řešení rovnice je buď x = 0 (toto řešení je triviální a vede na nulovou frekvenci) nebo x ~ 2.82144 (hledané řešení). Z definice x je zřejmé, že ωmax ~ T, neboli λmax ~ 1/T.
![]() |
![]() |
| Graf křivky 3 − x a křivky 3 exp(−x) | Graf křivky 3 − x − 3 exp(−x) |
Příklad 3: Slunce
Zadání: Nalezněte povrchovou teplotu Slunce, víte-li, že u Země je intenzita záření IZ = 1.4 kW/m2. Nalezněte povrchovou teplotu Slunce také z faktu, že maximum vyzařování je ve žluté barvě s λmax = 500 nm.
Další údaje: Vzdálenost Země od Slunce RZS = 150×106 km, poloměr Slunce RS = 700 000 km.

Řešení: Známe-li intenzitu záření Slunce u naší Země, můžeme určit celkový výkon Slunce P = 4πRZS2IZ. Z celkového výkonu spočteme intenzitu vyzařování na povrchu Slunce IS = P/4πRS2. Ta je podle Stefanova-Boltzmannova zákona rovna σT4. Pro teplotu na povrchu tak vychází:
T = [IZRZS2/σRS2]1/4.
Z Wiennova posunovacího zákona víme, že vlnová délka maxima vyzařování je λmax = b/T, odsud snadno určíme teplotu povrchu Slunce:
T = b/λmax .
Výsledek: Oběma postupy vychází teplota povrchu Slunce cca 5 800 K.
Příklad 4: Člověk
Zadání: Nalezněte vlnovou délku na které vyzařuje maximum energie člověk o teplotě 37 °C.
Předpoklady: Člověk září jako absolutně černé těleso.
Řešení: Využijeme Wiennův posunovací zákon λmax = b/T = 0.00289/310 m = 9.3×10−6 m. Maximum je v infračervené oblasti. Na této vlnové délce musí být citlivá různá čidla monitorující pohyb člověka (bezpečnostní systémy apod.).
Příklad 5: Čára Hα
Zadání: Nalezněte vlnovou délku vodíkové čáry Hα (přechod z hladiny n = 3 na hladinu n = 2).

Řešení: Při přechodu se uvolní energie ΔE = E3 − E2 = E1/9 − E1/4 = −13,6 eV (1/9 − 1/4) = 1.88 eV. Tato energie je rovna energii vyzářeného fotonu ΔE = ħω = ħ 2πc/λ. Odsud již snadno určíme vlnovou délku.
Výsledek: λ = 656 nm.
Příklad 6: Mikroskop
Zadání: Nalezněte maximální možnou (teoretickou) rozlišovací schopnost elektronového mikroskopu. Elektrony jsou urychleny potenciálovým rozdílem 104 V.

Řešení: Elektron v elektronovém mikroskopu se chová jako vlna, mezní rozlišovací schopností je sama vlnová délka elektronu. Od částicových vlastností je tedy třeba přejít k vlnovým vlastnostem elektronu. Elektron je urychlen na kinetickou energii meυ2/2 = QU. Z této rovnice zjistíme rychlost částice. Vzhledem k malému urychlujícímu napětí jsme použili jen nerelativistický vztah. Pro vyšší napětí by bylo třeba rychlost najít z relativistického vztahu (prohlédněte si příklad „Parametry rychlé částice“). Nyní přejdeme k vlnovým vlastnostem podle Heisenbergova vztahu p = ħk. Vzhledem k nerelativistické situaci je v převodní rovnici p = meυ a k = 2π/λ.
Výsledek: Mezní rozlišovací schopnost je rovna vlnové délce elektronu λ = h (2meQU)−1/2 ~ 10−11 m.
Příklad 7: Komutátor
Zadání: Nalezněte komutační relaci mezi operátorem násobení souřadnicí a operátorem derivování.
Řešení: Přímo z definice komutátoru nalezneme výsledek:
[x, d/dx] f = (x d/dx − d/dx x) f = x df/dx − d/dx (xf ) = x df/dx − f − x df/dx = − f .
Porovnáme-li první a poslední výraz, zjistíme:
[x, d/dx] = −1.
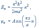
Příklad 8: Jáma
Zadání: Nalezněte energetické hladiny v potenciálu nekonečné pravoúhlé jámy
.
Řešení: V oblastech I a III je jediné řešením bezčasové Schrödingerovy rovnice ψ = 0 (potenciál je nekonečný). Z fyzikálního hlediska to znamená, že pravděpodobnost výskytu částice je nulová. Kdyby byla jáma konečná (konečný potenciál vně jámy), byla by vlnová funkce ψ v těsné blízkosti hranice jámy nenulová. Částice by měla sice malou, ale nenulovou pravděpodobnost existence i za hranicí jámy. V oblasti II má Schrödingerova rovnice tvar
![]()
který lze upravit na standardní rovnici kmitů
![]()
s jednoduchým řešením
ψ = A sin kx + B cos kx.
Vlnová funkce musí být spojitá na obou hranicích jámy, proto musí platit ψ(0) = 0, ψ(a) = 0. Řešením této okrajové podmínky je
B = 0 , k = πn/a , n = 1, 2, 3, ... .
Podmínka pro k není nic jiného než energetické spektrum (energie vystupuje v definici k).

Výsledek:

Prohlédněte si aplet „Jáma“.
Příklad 9: Emise
Zadání: Určete relativní nepřesnost ve vlnové délce fotonu vyzářeného atomem při přeskoku elektronu mezi dvěma hladinami. Předpokládejte, že emisní akt trvá 10−8 s. Konkrétní výpočet proveďte pro λ = 500 nm.
Řešení: Vyjdeme z limitního případu Heisenbergových relací neurčitosti:
|
ΔEΔt ~ ħ/2, |
|
Výsledek: Relativní přesnost vyzářené vlnové délky fotonu je Δλ/λ ~ 1.4×10−8.
| Termo | Kmity | Vlny | Elmg | Optika | Relativita | Kvanta |
| Příklady | Příklady | Příklady | Příklady | Příklady | Příklady | Příklady |

