|
| |||
|
Týdeník věnovaný aktualitám a novinkám z fyziky a astronomie. | |||
|
Slábne elektrický náboj na velmi malých vzdálenostech?
Petr Kulhánek
Koncepce síly ve fyzice byla velmi úspěšná od Newtonových dob, kdy poprvé umožnila výpočet pohybu těles a předpověď jejich aktuální polohy. Vždy ale šlo jen o matematický předpis, podle kterého probíhal výpočet. Jakékoli pokusy o definici síly nebo o hlubší popis mechanizmu silového působení selhávaly. Obrat nastal až ve dvacátém století, které lidstvu dalo dvě zcela nové a revoluční teorie. Na jedné straně je obecná relativitaObecná relativita – teorie gravitace publikovaná Albertem Einsteinem v roce 1915. Její základní myšlenkou je tvrzení, že každé těleso svou přítomností zakřivuje prostor a čas ve svém okolí. Ostatní tělesa se v tomto pokřiveném světě pohybují po nejrovnějších možných drahách, tzv. geodetikách., která namísto silového působení využívá pohyb v zakřiveném prostoročasu, a na druhé straně kvantová teorie pole, která popisuje silové působení jakožto výměnu polních (mezipůsobících, intermediálních, zprostředkujících) částic. Vynořil se ovšem problém zcela nový. Obecná relativita je úspěšnou teorií pro popis gravitačního působení a kvantová teorie je úspěšnou teorií pro popis ostatních tři interakcí – elektromagnetické, silné a slabé. Jednotný popis všech čtyř interakcí nemáme. Několik posledních desetiletí ve fyzice lze charakterizovat jako hledání finální teorie, jedné jediné teorie pro všechny čtyři interakce. Možná je na správné stopě teorie strunStruny – jednodimenzionální útvary ve vícerozměrném světě (uzavřené nebo otevřené), jejichž vibrační stavy odpovídají jednotlivým elementárním částicím. Jde o podstatný prvek tzv. strunových teorií, které se pokoušejí spojit svět kvantové teorie se zakřiveným prostoročasem obecné relativity., možná bude řešení úplně jiné. Nicméně každý nalezený kamínek do celkové mozaiky poznání chování interakcí je nesmírně cenný. Na sklonku roku 2010 bylo oznámeno, že při extrémně vysokých energiích by měl podle teorie elektrický náboj slábnout. Pokud se teoretické předpoklady potvrdí, jsou důsledky tohoto tvrzení pro naše poznání světa mimořádně závažné.

V teorii strun jsou částice jednorozměrné útvary v mnoharozměrném světě. Levý horní obdélník symbolizuje stav současné fyziky. Tři interakce jsou propojeny kvantovou teorií: EM – elektromagnetická, S (Strong) – silná a W (Weak) slabá. Poněkud stranou stojí zatím gravitace označená symbolem G, která je popisována pomocí zakřiveného prostoročasu. Zdroj: Wordpress.
|
Silná interakce – interakce krátkého dosahu, přibližně 10−15 m. Silná interakce je výběrová, působí jen na částice s barevným nábojem, tj. kvarky. Polními částicemi silné interakce jsou gluony (z anglického „glue“ = lepit, lepidlo). Gluony spojují kvarky do větších celků, tzv. hadronů. Nejznámější jsou proton a neutron složený ze tří kvarků. Silná interakce je odpovědná za soudržnost atomárního jádra. Polní částice mají barevný náboj a proto mohou působit samy na sebe. Barevný náboj na malých vzdálenostech (při vysokých energiích) slábne a kvarky se chovají jako volné částice. Hovoříme o tzv. asymptotické volnosti kvarků. Teorií silné interakce se nazývá kvantová chromodynamika (QCD). Slabá interakce – interakce s konečným dosahem, který je přibližně 10–17 m. Působí pouze na levotočivé kvarky a leptony. Polními částicemi jsou vektorové bosony W+, W− a Z0 se spinem rovným jedné. Hmotnosti částic jsou v rozmezí (80÷90) GeV. Typickým slabým procesem je například beta rozpad neutronu. Teorie slabé interakce se nazývá kvantová flavourdynamika (QFD). Elektromagnetická interakce – interakce působící na všechny částice s elektrickým nábojem. Má nekonečný dosah, mezi tělesy ubývá s druhou mocninou vzdálenosti. Polními částicemi jsou fotony, které vytvářejí mezi nabitými tělesy elektromagnetické pole. Nemají elektrický náboj, mají nulovou klidovou hmotnost a spin rovný jedné. Teorie elektromagnetické interakce se nazývá kvantová elektrodynamika (QED). Gravitační interakce – interakce působící na všechny částice bez výjimky. Má nekonečný dosah a její intenzita ubývá s kvadrátem vzdálenosti. Současnou teorií gravitace je obecná relativita publikovaná Albertem Einsteinem v roce 1915. Podle této teorie kolem sebe každé těleso zakřivuje prostor a čas a v tomto pokřiveném světě se tělesa pohybují po nejrovnějších možných drahách, tzv. geodetikách. Obecná relativita předpověděla řadu jevů, které z Newtonovy teorie gravitace nevyplývají. |
Náboje interakcí
Odlišnost jednotlivých interakcí vyjadřujeme pomocí tzv. nábojů. Náboj elektromagnetické interakce asi každý zná. Jde o elektrický náboj, který je základní charakteristikou elementárních částic. Jen částice s nenulovým elektrickým nábojem se mohou přitahovat, anebo odpuzovat. Velikost náboje charakterizuje intenzitu elektromagnetické interakce mezi částicemi. U silné interakce hovoříme o tzv. barevném náboji. Nemá nic společného s opravdovou barvou, jen vyjadřuje odlišnost stejných kvarků vázaných ve stejném kvantovém stavu. Barva je volena tak, aby výsledné částice byly bezbarvé, tj. buď jsou vázány tři kvarkyKvarky – částice, ze kterých jsou tvořeny těžké částice s vnitřní strukturou (hadrony). Hadrony dělíme na baryony složené ze tří kvarků (například protony a neutrony) a na mezony tvořené kvarkem a antikvarkem (například piony). Kvarky se dělí do tří generací, první tvoří kvarky „d“ (down) a „u“ (up), druhou kvarky „s“ (strange) a „c“ (charm) a třetí kvarky „b“ (bottom nebo beauty) a „t“ (top nebo truth). Kvarky mají neceločíselné (třetinové a dvoutřetinové) elektrické náboje. Jsou také nositeli barevného náboje silné interakce. (červený, zelený, modrý), jejichž výsledná barva je bílá, nebo kvark s antikvarkem (barva a antibarva). Přípustné jsou i jiné bezbarvé kombinace. Barevný náboj určuje intenzitu silné interakce, která váže kvarky do tzv. mezonůMezon – částice složená z jednoho kvarku a jednoho antikvarku. Název vznikl z toho, že první objevené mezony měly hmotnost „mezi“ hmotností elektronu a protonu. Pokud se kvarky složí s nesouhlasným spinem, vznikne skalární mezon (má nulový spin), pokud se souhlasným spinem vznikne vektorový mezon (spin má roven jedné). Skalární mezony zkombinované z kvarků „d“ a „u“ nazýváme piony, vektorové róony. Pokud mezon obsahuje kvark „s“, nazývá se kaon. nebo baryonůBaryon – elementární částice složená ze tří kvarků s různým barevným nábojem. Výsledná barva je „bílá“. Baryony podléhají silné interakci a patří proto mezi hadrony. Baryony složené z kvarků první generace (d, u) dělíme na nukleony se spinem rovným 1/2 (proton a neutron) a delta baryony se spinem rovným 3/2 (4 částice s různým nábojem). Baryony obsahující s kvark nazýváme hyperony. Nejznámějším je lambda hyperon. Hyperony byly hojně zastoupené v raných vývojových fázích vesmíru, často hovoříme o hyperonovém plynu. Dnes vznikají interakcí kosmického záření s horními vrstvami atmosféry a umíme je vytvořit uměle na urychlovačích. a pomocí které drží pohromadě atomové jádro. Nábojem poslední kvantové interakce, slabé, je tzv. vůně. Opět nejde o skutečnou vůni, ale o pouhé vyjádřené kvantové odlišnosti dvou částic, například vůně dvojice kvarků tzv. druhé generace může nabývat hodnoty podivný nebo půvabný – právě touto vlastností se od sebe tyto kvarky liší. Slabý náboj (vůně) určuje intenzitu slabé interakce. V gravitaci, která je ale popsána obecnou relativitou a nikoli kvantovou teorií, zastává funkci náboje hmotnost částice.

Tabulka elementárních částic. Číslicemi I, II a III jsou označeny tzv. generace částic.
Stínění a antistínění
Ve světě elementárních částic platí jedno pravidlo. Čím vyšší mají částice energii, tím blíže se mohou přiblížit k sobě. Hovoříme-li tedy o tom, jak vypadá ten či onen náboj částice z malé vzdálenosti, je to totéž, jako kdybychom sledovali chování onoho náboje částice při vysokých energiích, například v počátečních fázích Velkého třesku. Náboj elektronuElektron – první objevená elementární částice. Je stabilní. Hmotnost má 9,1×10−31 kg a elektrický náboj 1,6×10−19 C. Elektron objevil sir Joseph John Thomson v roce 1897. Existenci antičástice k elektronu (pozitron) teoreticky předpověděl Paul Dirac v roce 1928 a objevil Carl Anderson v roce 1932. (nebo jiné elektricky nabité částice) je stíněný. To znamená, že v okolí elektronu není prázdnota, ale vakuum plné různých fluktuací elektromagnetických polí, které se projevují občasným vznikem elektrono-pozitronového páru, který po chvíli zase zmizí. Jako by se na krátký okamžik vynořil z vakua a poté zase zanikl. Takové páry nazýváme virtuální páry. Tyto virtuální částice sice nemůžeme nikdy spatřit, ale jejich projevy lze sledovat. Patří k nim například schopnost polarizace vakua (obdobně jako může být polarizováno dielektrikum). Jiným projevem virtuálních párů je stínění elektrického náboje. Budeme-li se přibližovat k elektronu, jeho náboj poroste. Náboj, který měříme na velkých vzdálenostech (při nízkých energiích) tedy není skutečnou konstantou. Se zvyšováním energie (se snižováním vzdálenosti) elektrický náboj elektronu roste.
Zcela opačně se chová silná interakce – barevný náboj kvarků je antistíněn. Je to způsobeno tím, že barevný náboj nenesou jen kvarkyKvarky – částice, ze kterých jsou tvořeny těžké částice s vnitřní strukturou (hadrony). Hadrony dělíme na baryony složené ze tří kvarků (například protony a neutrony) a na mezony tvořené kvarkem a antikvarkem (například piony). Kvarky se dělí do tří generací, první tvoří kvarky „d“ (down) a „u“ (up), druhou kvarky „s“ (strange) a „c“ (charm) a třetí kvarky „b“ (bottom nebo beauty) a „t“ (top nebo truth). Kvarky mají neceločíselné (třetinové a dvoutřetinové) elektrické náboje. Jsou také nositeli barevného náboje silné interakce., ale i gluonyGluony – intermediální (polní, výměnné) částice silné interakce, která působí na hadrony a je krátkého dosahu. Tato interakce spojuje kvarky v mezony a baryony, udržuje pohromadě neutrony a protony v atomovém jádře a způsobuje některé rychlé rozpady elementárních částic. Celkem známe 8 gluonů. Tyto polní částice jsou nositeli barevného náboje (náboje silného interakce). Tím se silná interakce odlišuje od elektromagnetické a slabé interakce., polní částice zprostředkující silnou interakci (naopak u elektromagnetické interakce nemá polní částice – fotonFoton – základní kvantum energie elektromagnetického záření, polní částice elektromagnetické interakce. Má nulovou klidovou hmotnost a nemá elektrický náboj. Jeho energie a hybnost jsou přímo úměrné frekvenci záření (E = ħω, p = E/c). Stav fotonu zahrnuje také polarizaci, protože jde o příčné vlnění. Kvantování energie poprvé zavedl Max Planck při pokusech o vysvětlení záření černého tělesa. Albert Einstein dal těmto kvantům reálný význam v roce 1905 při vysvětlení fotoelektrického jevu. Samotný název foton poprvé pro tuto částici použil až americký fyzikální chemik Gilbert Lewis v dopise časopisu Nature z roku 1926. – elektrický náboj). Při vysokých energiích barevný náboj silné interakce slábne a pokud se kvarky k sobě dostanou na vzdálenosti menší než 10−15 m, začnou se chovat jako volné částice, hovoříme o tzv. asymptotické volnosti kvarků. Za teoretický popis chování kvarků při vysokých energiích získali v roce 2004 Nobelovu cenu za fyziku Frank Wilczek, David Gross a David Politzer. V roce 2000 bylo ve středisku jaderného výzkumu CERNCERN – Conseil Européen pour la Recherche Nucléaire, Evropské centrum jaderného výzkumu. Komplex urychlovačů a laboratoří na pomezí Švýcarska a Francie založený v roce 1954. Na výzkumu se podílí 22 členských zemí včetně České republiky. K největším objevům patří detekce polních částic slabé interakce, příprava antivodíku a vytvoření kvarkového-gluonového plazmatu, pralátky, z níž vznikal vesmír. V současné době je zde vybudován největší urychlovač světa – Large Hadron Collider, který byl po závadě na jednom z magnetů opětovně spuštěn na konci roku 2009. V roce 2012 byl na LHC objeven Higgsův boson, poslední částice standardního modelu. V CERNu byl také vynalezen a poprvé použit Web. připraveno kvarkovo-gluonové plazma. Při srážce dvou jader olovaOlovo – Plumbum, těžký toxický kov, který je znám lidstvu již od starověku. Má velmi nízký bod tání a je dobře kujný a odolný vůči korozi. Je součástí barviva – olovnaté běloby, žlutý chroman olovnatý je známý jako chromová žluť. Zvyšuje oktanové číslo paliva. Velmi čistý PbS je citlivým detektorem infračerveného záření a využívá se při výrobě fotografických expozimetrů a fotočlánků. se uvolnila taková energie, že se kvarky a gluony na malý okamžik začaly chovat jako volné částice. Takové podmínky panovaly ve vesmíru, když byl mladší než 10 mikrosekund.
Z podrobné analýzy experimentů i stávajících teorií se zdá, že vazebné konstanty interakcí (jsou úměrné jejich nábojům) by se měly setkat přibližně při energii 1016 GeVElektronvolt – jednotka energie. Jde o energii, kterou získá elektron urychlením v potenciálovém rozdílu jeden volt, 1 eV = 1,6×10−19 J. V jaderné fyzice se používají spíše větší násobky této jednotky, kiloelektronvolt keV (103 eV), megaelektronvolt MeV (106 eV), gigaelektronvolt GeV (109 eV), teraelektronvolt TeV (1012 eV) nebo petaelektronvolt PeV (1015 eV). V těchto jednotkách se také vyjadřuje hmotnost (E=mc2) a teplota (E=kBT). Jeden elektronvolt odpovídá teplotě přibližně 11 600 K.. To je energie tzv. Velkého sjednocení, nad kterou se všechny tři kvantové interakce chovají jako jedna jediná interakce. Takové podmínky panovaly ve Vesmíru, dokud byl mladší než přibližně 10−39 s, kdy měly částice energii 1016 GeV a teplota vesmíru byla 1029 K. Na našich urychlovačích se takovému stavu látky bohužel nedokážeme ani přiblížit.

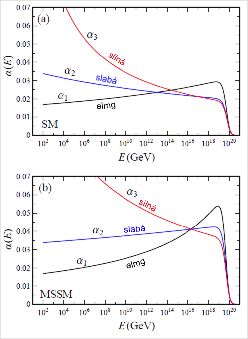
Vazební konstanty jednotlivých interakcí se při vysokých energiích
přibližují.
Ke sjednocení by mělo dojít někde kolem energie 1016 GeV.
Poslední názory na změny velikosti elektrického náboje
Při pohledu na graf vazebních konstant vyvstávají okamžitě dvě otázky: Setkají se všechny tři konstanty při jedné jediné energii? A co se bude dít při vyšších energiích? Pokud by elektrický náboj dále rostl, znamená to, že v počátečních fázích Velkého třesku měly částice enormní elektrický náboj? Snad nekonečný? To by ale vedlo k mnoha problémům. Již v roce 2006 publikovali Sean Robinson a Frank Wilczek možné řešení. Pokud se do výpočtů zahrne kvantová gravitace, pak při extrémně vysokých energiích (nad 1018 GeV) začnou náboje všech tří interakcí prudce klesat, a proto budou mít v nejrannějších fázích vesmíru všechny tři kvantové interakce velmi malé vazební konstanty. Předložené výpočty byly mnoha vědci kritizovány a byly v nich nalezeny zásadní chyby. Na sklonku roku 2010 byly publikovány dva nové články na obdobné téma. První (Nature, 4. 11. 2010) shrnuje výpočty Davida Tomse z Univerzity v Newcastlu a druhý (ArXiv, 12. 8. 2010) výpočty čínsko-japonské skupiny vědců (Hong-Jian He, Xu-Feng Wang, Zhong-Zhi Xianyu). V obou článcích je opět prováděn výpočet závislosti vazebních konstant na energii. V úvahu je brán vliv kvantové gravitace. Oba články prokazují, že základní myšlenka Robinsona a Wilczeka byla správná a korektní výpočty skutečně vedou na prudký pokles vazebních konstant nad Planckovou energiíPlanckovy škály – charakteristické rozměry získané kombinací fundamentálních konstant (gravitační, Planckovy a rychlosti světla). Planckova délka vychází 10−35 m, Planckův čas 10−43 s, Planckova hmotnost 10−8 kg a Planckova energie 1019 GeV. 1019 GeV (tomu odpovídá Planckova vzdálenost 10-35 m). Všechny tři vazební konstanty (náboje) se stanou pro vyšší hodnoty energie nulové. V raném vesmíru by podle těchto výpočtů elektron o svůj náboj přišel... Pokud se ukáže, že výpočty jsou skutečně správné a že tyto modely odpovídají realitě, bude to znamenat výrazný posun v řešení mozaiky jednotné teorie všech čtyř interakcí.

Výsledky výpočtů čínsko-japonské skupiny. Nad Planckovou energiíPlanckovy škály – charakteristické rozměry získané kombinací fundamentálních konstant (gravitační, Planckovy a rychlosti světla). Planckova délka vychází 10−35 m, Planckův čas 10−43 s, Planckova hmotnost 10−8 kg a Planckova energie 1019 GeV. hodnoty všech tří vazebních konstant prudce klesají. Stínění elektrického náboje (jeho růst s energií) se změní v antistínění. Za to je zodpovědná celá řada exotických Feynmanových diagramů, které nejsou běžné v nízkoenergetické limitě. Na horním obrázku je výpočet v rámci standardního modelu (SM). Pokud se do výpočtu zahrne i supersymetrieSUSY – SUSY (SUper SYmmetry), supersymetrie, symetrie mezi fermiony a bosony, která by se měla projevovat při vysokých energiích. Ke každému fermionu by měl existovat superpartner, který je bosonem, a naopak ke každému bosonu by měl existovat superpartner, který je fermionem. Názvy superpartnerů tvoříme příponou „ino" pro bosony a předponou „s“ pro fermiony. Tedy například foton – fotino, elektron – selektron. Přestože se tyto superpartnery zatím nepodařilo experimentálně pozorovat na urychlovači LHC, představuje supersymetrie významnou ingredienci v teorii superstrun. (MSMM – Minimální supersymetrický model, dolní graf)), protnou se dokonce všechny tři průběhy vazebních konstant v jediném bodě. Zdroj: [2].

Exotické Feynmanovy diagramy, které se uplatňují při vysokých energiích. Vlnovkou jsou značeny fotony, dvojitou vlnovkou gravitony, plnou čarou skalární pole, čárkovaně fluktuace skalárního pole, kolečky pole gravitonových duchů a tečkovaně pole fotonových duchů (pole duchů se do teorie přidávají proto, aby platily určité symetrie, nejde však pravděpodobně o reálná fyzikální pole). Zdroj [2].
Odkazy
- David J. Toms: Quantum gravitational contributions to quantum electrodynamics; Nature 468, 56-59 (Nov 4, 2010), ke stažení arXiv:1010.0793v1 [hep-th]
- Hong-Jian He, Xu-Feng Wang, Zhong-Zhi Xianyu: Gauge-Invariant Quantum Gravity Corrections to Gauge Couplings via Vilkovisky-DeWitt Method and Gravity Assisted Gauge Unification; arXiv:1008.1839v2 [hep-th] Aug 12, 2010
- Anil Ananthaswamy: Why the early universe was free of charge; New Scientist 2785, Nov 4, 2010
- Hamish Johnston: Quantum gravity corrects QED; Physics World, Nov 3, 2010
- Sean P. Robinson, Frank Wilczek: Gravitational Correction to Running of Gauge Couplings; Phys. Rev. Lett. 96, 231601 (2006), ke stažení arXiv:hep-th/0509050v2 Jun 9, 2006